Лінкі ўнівэрсальнага доступу

Наколькі беларускае грамадзтва няроўнае паводле даходаў? Інфаграфіка

Ілюстрацыйнае фота
Ілюстрацыйнае фота

Сьцісла

  • Белстат штогод падлічвае каэфіцыент Джыні — паказьнік эканамічнай няроўнасьці ў грамадзтве.
  • Беларусь крыху больш «роўная», чым краіны Эўразьвязу ў сярэднім.
  • Каэфіцыент Джыні ў Польшчы амаль такі ж, як у Беларусі. У Латвіі і Літве ён заўважна вышэйшы, чым у Беларусі.

Паводле паказьніку эканамічнай няроўнасьці (каэфіцыенту Джыні), Беларусь — сярэднеэўрапейская краіна. Ступень роўнасьці ў Беларусі — прыкладна такая ж, як у Польшчы, вышэй, чым у Літве і Латвіі, і значна вышэй, чым у Расеі.

Наколькі Беларусь «роўная»?

Белстат штогод публікуе дадзеныя аб разьмеркаваньні даступных даходаў на душу насельніцтва сярод хатніх гаспадарак. Усе хатнія гаспадаркі дзеляцца на 5 роўных па колькасьці групаў — квінтыляў (ад лацінскага quinta — пятая) паводле ўзрастаньня долі даступнага даходу. Першы квінтыль (20%) — самыя бедныя, апошні, пяты — самыя заможныя.

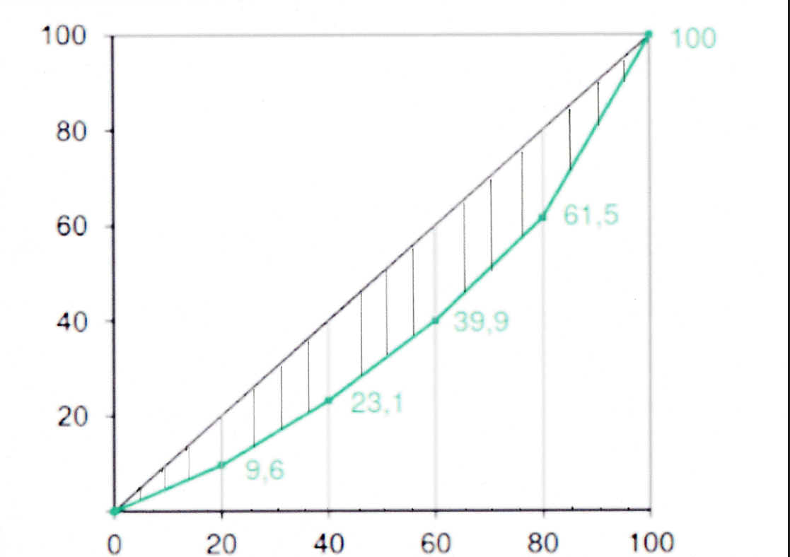
На наступным графіку са справаздачы Белстату прадстаўленае кумулятыўнае (назапашанае) разьмеркаваньне даходаў сярод беларускіх хатніх гаспадарак.

ГРАФІК У ПОЎНЫМ ФАРМАЦЕ

Узровень няроўнасьці ў разьмеркаваньні даступных даходаў у 2024 годзе (крывая Лорэнца). Крыніца: Белстат

З графіку вынікае, што першы квінтыль самых бедных беларусаў у 2024 годзе атрымліваў усяго 9,6% ад агульных даходаў хатніх гаспадарак, на першы і другі квінтылі (на 40%) прыпадала 23,1% агульных даходаў і г.д.

Каэфіцыент Джыні — статыстычны паказчык, які вымярае ўзровень няроўнасьці ў разьмеркаваньні даходаў або багацьця ў грамадзтве, распрацаваны італьянскім навукоўцам Карада Джыні (Corrado Gini) ў 1912 годзе. Гэты каэфіцыент прымае значэньні ад 0 да 1, дзе 0 — абсалютная роўнасьць, а 1 — абсалютная няроўнасьць. Чым вышэй значэньне каэфіцыента, тым больш глыбокае эканамічнае расслаеньне грамадзтва, тым вышэй у ім няроўнасьць.

Статыстычныя службы ўсяго сьвету, у тым ліку і Белстат, падлічваюць і выкарыстоўваюць гэты самы папулярны паказьнік эканамічнай няроўнасьці.

Крывая зялёнага колеру на графіку Белстата, якая злучае кропкі доляў даходу квінтыляў, называецца крывой Лорэнца. Плошча заштрыхаванай фігуры паміж дыяганалью квадрата і крывой Лорэнца, падзеленая на плошчу ўсёй паловы квадрата пад дыяганальлю, і называецца каэфіцыентам Джыні. Ён падлічваецца ў адсотках.

Чым больш крывая Лорэнца выгнутая ўніз, да вэртыкальнай восі, чым больш заштрыхаваная вобласьць, тым большы каэфіцыент Джыні і тым большая няроўнасьць у разьмеркаваньні даходаў у грамадзтве. На графіку, які фігуруе ў справаздачы Белстату за 2024 год, гэты каэфіцыент складае 27,9%.

Як мянялася ступень роўнасьці ў Беларусі?

Наступны графік, зроблены па дадзеных справаздачаў Белстату, паказвае, як мяняўся гэты каэфіцыент у Беларусі, пачынаючы з 2015 году.

ГРАФІК У ПОЎНЫМ ФАРМАЦЕ

Крыніца: Белстат

Як бачна з графіку, на працягу дзесяцігодзьдзя гэты каэфіцыент — ступень няроўнасьці ў Беларусі — мяняўся нязначна. Адным з выключэньняў быў 2020 год. Пандэмія моцна ўдарыла па бізнэсе, асабліва па дробным, зь іншага боку, дзяржава тады ажыцьцяўляла дадатковыя праграмы сацыяльнай падтрымкі. У выніку сярэдняя кляса зьбяднела, самыя бедныя крыху пабагацелі, што і прывяло да невялічкага зьмяншэньня каэфіцыенту Джыні і адпаведна — да большай роўнасьці. Але ў цэлым паказьнік няроўнасьці ў Беларусі быў даволі стабільны. Шмат што ў беларускім сацыяльна-эканамічным жыцьці мянялася, але толькі ня гэта.

Параўнаньне Беларусі з іншымі краінамі паводле ступені няроўнасьці

У сярэднім у 2015-2024 гадах каэфіцыент Джыні ў Беларусі складаў 27,4%. Гэта мала ці шмат? Як выглядае Беларусь у параўнаньні зь іншымі краінамі?

У шэрагу публікацыяў можна сустрэць сьцьвярджэньне, што ў Беларусі ступень роўнасьці — адна з самых высокіх, што, адпаведна, каэфіцыент Джіні — адзін з самых нізкіх.

На наступным графіку прадстаўленыя сярэднія значэньні каэфіцыента Джыні ў 2015-2024 гадах ў Беларусі, у Расеі, у Эўразьвязе і ў некаторых асобных краінах ЭЗ.

ГРАФІК У ПОЎНЫМ ФАРМАЦЕ

Крыніцы: Белстат, Эўрастат, Расстат

З графіку бачна, што Беларусь — ня чэмпіён роўнасьці ў Эўропе. 6 з 27-мі краінаў ЭЗ і Нарвэгія, якая не ўваходзіць у ЭЗ, — «раўнейшыя» за Беларусь. Яшчэ 4 краіны ЭЗ — Аўстрыя, Швэцыя, Вугоршчына і Польшча — маюць практычна такое ж, як Беларусь, значэньне каэфіцыента Джыні (адрозьненьне не перавышае палову адсоткавага пункту). Але няроўнасьць у Беларусі меншая, чым у сярэднім у Эўразьвязе, і заўважна меншая, чым у дзьвюх іншых суседак — Латвіі і Літве.

Наўпроставай сувязі паміж багацьцем і роўнасьцю сярод краінаў ЭЗ няма. Калі казаць пра тыя зь іх, дзе роўнасьці больш, чым у Беларусі, то паводле ВУП на душу насельніцтва Нідэрлянды і Бэльгія — у пяцёрцы самых заможных краінаў ЭЗ, Чэхія — у сярэдзіне рэйтынгу заможнасьці, Славаччына — у пяцёрцы самых бедных. І наадварот — сярод тых краінаў, дзе роўнасьці менш, чым у Беларусі, багатая Нямеччына і адносна бедная Латвія.

Ну а Расея — гэта ўжо іншая катэгорыя, іншы сьвет у сэнсе няроўнасьці. У Расеі каэфіцыент Джыні перавышае беларускі на 13 адсоткавых пунктаў.

Беларусь — сярэдняя эўрапейская краіна

Спрэчкі пра тое, у якой ступені і ў якім сэнсе Беларусь — Эўропа, ідуць дзесяцігодзьдзямі і, магчыма, будуць працягвацца яшчэ доўга.

Відавочна, што паводле ступені свабоды — палітычнай, эканамічнай, культурнай — Беларусь цяпер вельмі адрозьніваецца ад Эўропы. Але, як ня дзіўна, паводле ступені роўнасьці — як раз ня вельмі. Ня чэмпіён, але і не аўтсайдэр — сярэдняя эўрапейская краіна.

І гэта мае пэўнае значэньне і сёньня, і можа мець у будучыні — людзі ацэньваюць стан свайго грамадзтва ня толькі па тым, наколькі яно багатае, але і па тым, наколькі справядліва разьмеркаванае гэтае багацьце.

  • 16x9 Image

    Юры Дракахруст

    Палітычны аглядальнік Радыё Свабода.

    Кандыдат фізыка-матэматычных навук. Аўтар кніг «Акцэнты Свабоды» (2009), «Сем худых гадоў» (2014), «Неверагодны 2020-ы» (2021).

    На Свабодзе — ад 1991 году.

Тэмы гэтага артыкулу

Форум

Камэнтаваць тут можна праз Disqus. Калі вы ў Беларусі, любы камэнтар можа быць падставай для перасьледу з боку ўладаў.
XS
SM
MD
LG